Introduction
Comparer fait partie de la communication quotidienne. Que ce soit pour dire qu’une personne est plus grande qu’une autre, qu’un objet est moins cher qu’un autre, ou encore pour exprimer une égalité (aussi intéressant que), nous utilisons la comparaison.

En français, la comparaison est un outil fondamental pour décrire, nuancer et argumenter. Pourtant, elle pose parfois des difficultés aux apprenants, car il existe plusieurs formes, avec des structures grammaticales différentes.
Dans ce cours, nous allons voir :
- Les différents types de comparaison.
- Les règles grammaticales pour former une comparaison correcte.
- Des exemples concrets et variés.
- Des exercices pratiques avec corrections.
- Un QCM final pour tester vos connaissances.
1. Définition et rôle de la comparaison
La comparaison est une opération linguistique qui consiste à rapprocher deux éléments (personnes, objets, idées, actions) pour mettre en évidence leurs similarités ou leurs différences.
Elle permet :
- De décrire : « Cette maison est plus moderne que l’autre. »
- D’évaluer : « Elle court aussi vite que son frère. »
- D’argumenter : « Lire est moins fatigant que regarder la télévision. »
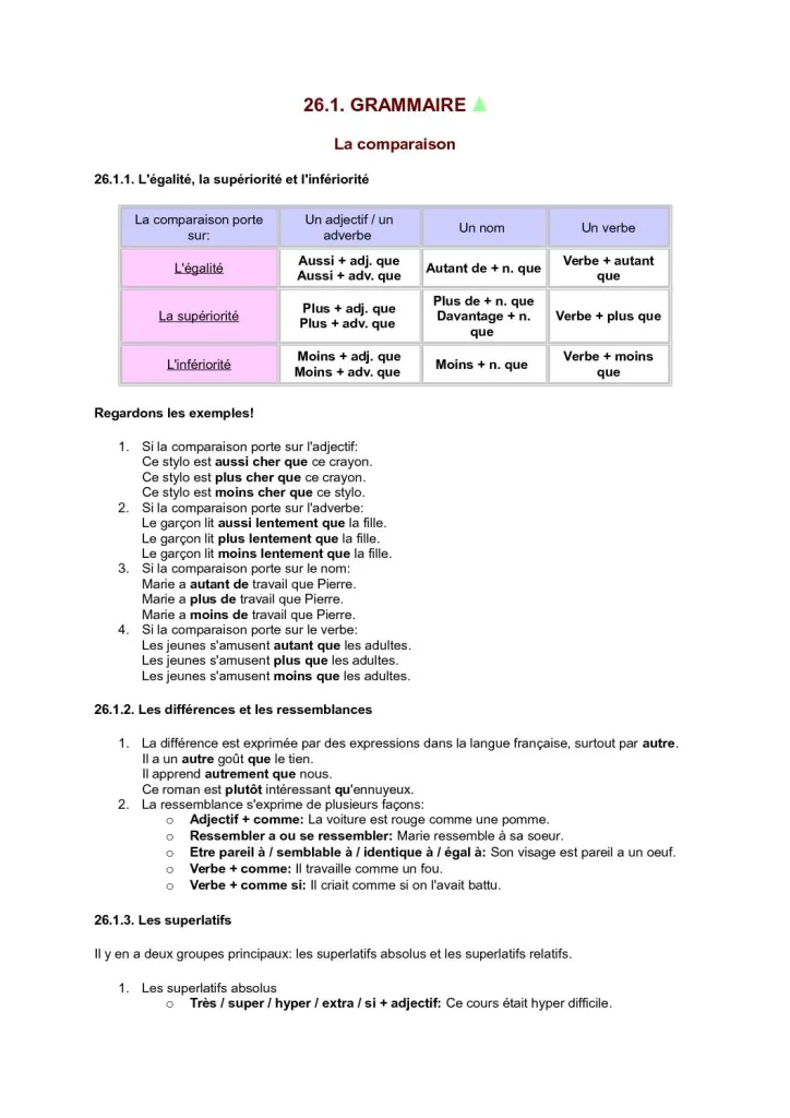
2. Les différents types de comparaison
On distingue principalement trois grands types de comparaison en français :
- Comparaison d’égalité → exprimer une équivalence.
Exemple : Marie est aussi intelligente que Paul. - Comparaison de supériorité → mettre en valeur un élément par rapport à un autre.
Exemple : Ce film est plus intéressant que l’autre. - Comparaison d’infériorité → montrer qu’un élément est inférieur.
Exemple : Cet exercice est moins difficile que le précédent.
3. La construction grammaticale des comparaisons
3.1. Avec un adjectif ou un adverbe
- Supériorité : plus + adjectif/adverbe + que
- Il est plus grand que son frère.
- Elle chante plus doucement que moi.
- Égalité : aussi + adjectif/adverbe + que
- Cet hôtel est aussi confortable que le nôtre.
- Il court aussi vite que toi.
- Infériorité : moins + adjectif/adverbe + que
- Ce livre est moins intéressant que celui-ci.
- Elle travaille moins rapidement que lui.

3.2. Avec un nom
- Supériorité : plus de + nom + que
- Il a plus de patience que moi.
- Nous avons plus de temps que prévu.
- Égalité : autant de + nom + que
- Elle a autant de travail que son collègue.
- Il y a autant de voitures qu’hier.
- Infériorité : moins de + nom + que
- Ils ont moins de problèmes que nous.
- J’ai moins de cours que toi aujourd’hui.
3.3. Avec un verbe
- Supériorité : verbe + plus que
- Il mange plus que moi.
- Ils voyagent plus que leurs parents.
- Égalité : verbe + autant que
- Elle lit autant que son frère.
- Nous travaillons autant que vous.
- Infériorité : verbe + moins que
- Tu parles moins que lui.
- Elle sort moins que ses amies.
4. La comparaison avec des comparatifs irréguliers
Certains adjectifs et adverbes ont une forme irrégulière en comparaison.
| Mot | Comparatif | Exemple |
|---|---|---|
| Bon | Meilleur (adj.) | Ce gâteau est meilleur que l’autre. |
| Bien | Mieux (adv.) | Il joue mieux que son frère. |
| Mauvais | Pire (adj.) | Ce film est pire que le premier. |
| Petit | Moindre | Il a une moindre responsabilité. |
5. Les outils de comparaison
En plus des structures classiques, le français dispose de nombreux outils comparatifs.
- Comme : Elle est courageuse comme sa mère.
- Tel que : Des animaux tels que le lion ou le tigre.
- Semblable à : Un comportement semblable au sien.
- Pareil à : Il est pareil à son père.
- Ressembler à : Ce bâtiment ressemble à un château.
6. Exercices pratiques
Exercice 1 – Complétez avec plus, moins ou aussi
- Marie est … intelligente que Paul.
- Cet exercice est … difficile que l’autre.
- Ils voyagent … souvent que nous.
- Elle a … de travail que son collègue.
- Ce gâteau est … bon que l’autre.
Corrigé :
- aussi
- plus
- moins
- autant
- meilleur
Exercice 2 – Transformez les phrases
- Ce livre est intéressant. → Comparaison de supériorité avec « ce roman ».
- Paul travaille beaucoup. → Comparaison d’égalité avec « Marie ».
- Il a peu d’amis. → Comparaison d’infériorité avec « son frère ».
Corrigé :
- Ce livre est plus intéressant que ce roman.
- Paul travaille autant que Marie.
- Il a moins d’amis que son frère.

7. Testez vos connaissances
Conclusion
La comparaison est une notion essentielle en français, car elle permet de nuancer ses propos, de décrire avec précision et de structurer un argumentaire. Qu’il s’agisse de comparer des adjectifs, des noms ou des verbes, les structures varient, mais le mécanisme reste simple : mettre en relation deux éléments pour souligner une ressemblance ou une différence.
Pour progresser, l’essentiel est de pratiquer régulièrement : décrire des objets, raconter des expériences ou débattre en utilisant des comparaisons variées.










